Imagine if there was a perfect number, a single number so flawless to form the basis of all art and music. A number so important that it could be used across the disciplines of Mathematics and Physics. A number so profoundly purposeful that the natural world and the universe would bend to its wills.
And, that number is 1.618034.
So, let's find out why it's so important.
And, that number is 1.618034.
So, let's find out why it's so important.
A number phi in explanation
The Fibonacci sequences a string of numbers that begins with 0 and which can be extended infinitely by adding the two consecutive numbers to find the next in the sequence. When we add 0 and 1, we get 1 which is the third Fibonacci number. Then we add 1 and 1 to obtain our fourth Fibonacci number, 1+1=2. And if we continue with this elementary exercise in addition we get the sequence as 0,1,1,2,3,5,8,13,21,34,55,89,144........
This pattern can be extended all the way to infinity. This sequence was introduced to the west in 1202 by Leonardo Pisano aka Fibonacci. Although it had already been identified by Indian mathematicians over 1000 years beforehand, but this guy from Pisa shouted first so, he got to name it after himself. That's just how things work!
As the world began to develop its understanding of Mathematics, we soon realized the string of digits was of fundamental importance, and today, we apply this knowledge in all manner of practical ways. Search algorithms, stock trading, gambling odds all make use of the Fibonacci sequence. But the way in which you have now encountered is, in the form of the mysterious golden ratio.
The golden ratio
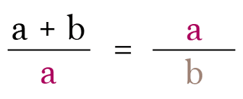
The golden ratio is a mathematical term used to describe the relationship between two figures. If you have a number 'a' and a lower number 'b' then the two are in the golden ratio if the sum of 'a' and 'b' is to 'a' as 'a' is to 'b'.
The Greek letter used to describe this ratio is ϕ and its value is contracted to 1.618034. Basically, anything that comes closer to this value in terms of its ratio is said to be perfectly proportioned.
For instance, a rectangle that measures 12.94 by 8 cms is in the golden ratio because 12.94 divided by 8 is 1.6175 and we add the length with the width of the rectangle (12.94+8) the result is 20.94. Then, the ratio between this (20.94) and the longer side (12.94) is 1.6182. The golden ratio can be used to calculate perfect spirals, golden triangles, and other shapes and patterns too. But what does this have to do with the Fibonacci series?
The link
To link the Fibonacci sequence and the golden ratio we must look at the ratio of the two consecutive Fibonacci numbers and observe the pattern this ratio takes as we move on. Because it turns out that further the Fibonacci number you go, the closer you get the golden ratio.
The ratio between 3 and 2 is 1.5 and the ratio between 5 and 3 is 1.66, and if we skip along a few, directly to the 14th and the 15th Fibonacci number, we'll see the ratio is 1.6180, and so on and so forth. As we saw earlier, the golden ratio is 1.618034. So clearly the golden ratio and the Fibonacci series seem to have some sort of link that we haven't worked out yet. And that is why so many smart folks have become absolutely obsessed with it.
The uses
The golden ratio has fascinated the world's most knowledgeable people since its discovery and we have seen its influence in some of the finest work kinds man has ever produced.
Plato's studies of the golden ratio were used in the design of Parthenon,
The Egyptians displayed the golden ratio in the planning and construction of the Pyramids,
And the perfect Taj Mahal used this concept too,
Notre Dame and the Great Mosque of Kairouan were also built according to this great mathematical law.
Artists from Da Vinci to Dali also incorporated the golden ratio in their paintings,
And the ratio can also be detected in the music of Debussy, Mozart, Shopan, and musical instruments too,
Even the Bible mentions things constructed with the golden ratio. The Ark of the Covenant was built in accordance with the ratio driven commandments laid down by God,
However, one thing we are not entirely sure about is whether any or all of this was deliberately delivered. Modern artists and architects know about this golden ratio and are known to apply purposefully to the works. And we know that at least from the historical buildings and artworks recreated by people, knew the golden ratio and its value. But this inexplicably pleasing proportion has been used by the people ignorant of its existence too. So, is the golden ratio merely something which all human beings are attracted to? Is it something that we find inherently satisfying? And this love of the number 1.618034, limited only to humans?
Nature's design
Is the golden ratio a universal law applied by nature? The evidence seems to suggest so and the affirmation Leonardo da Vinci has eluded this in some of his most famous artworks. De Divina Proportione, a mathematical textbook illustrated by Leonardo da Vinci in 1498 and his drawing of the Vitruvian Man,
In both, he points out the examples of the golden ratio found within the human body. Psychologists have also known that people whose facial, body and bone structures adhere to the golden ratio are often deemed to be more attractive than the non-proportional counterparts.
Now, if you feel like measuring your face, I totally understand. But you might want to hold on a second because the most shocking example of the golden ratio within human beings is far more interesting.
Did you know that the golden ratio even applies to our DNA? It's true! The composition of the double-stranded, spiral DNA seems to have been made in accordance with the divine proportion of the golden ratio.
And it's not just human either!
The ratio is also demonstrated in the shells of snails,
The number of petals in a flower,
And the arrangement of individual seeds in a seedhead,
Pinecone,
Tree branches and root system also follow the golden ratio,
And the bodies of certain animals too. Some creatures even live according to the golden ratio. Honeybee colonies are known to maintain the ratio of males to females at 1:1.618. So, is this ratio evidence that nature has been somehow designed? Was everything on Earth created by God or extraterrestrial race to adhere to a certain number?
It does look a little suspicious. Especially when you also find out that the golden ratio also applies to hurricanes,
Galaxy,
And, objects at the quantum level too,
And this goes deeper and darker!
So, we have seen that in the world of arts, architecture, and design, the golden ratio has earned a tremendous value but whether it's a fact or just a myth is totally up to you! But either way, the golden ratio is undoubtedly found in beautiful artworks and is pleasantly satisfying. And it does not end here either, people have used it in their brands as well. It is said that Apple's logo used the concept of the golden ratio. So, next time if you want to create a design, make sure it is in the ratio of 1.618034.





















The video games are equipped by recognized sport developers similar to Revolver Gaming and RTG. These video games have high-definition video graphics that permit gaming throughout a number of} gadgets. More importantly, this on line casino has variety of the} quickest payouts of winnings on the planet, along with responsive 24/7 customer service. It’s also played with a single deck of fifty two taking part in} cards. The paytable 벳익스플로어 {is also|can also be|can be} similar to the Jacks or Better one. Today, there are hundreds of different video poker variations, and 1000's of different pay tables.
ReplyDelete